-
Solved La siguiente figura representa el diagrama de | Chegg.com
-
Sistemas de
-
y Ceros | PDF Fracción | Función (Matemáticas)
-
Polo (análisis - Wikipedia, la enciclopedia
-
Estabilidad. Control Clásico : 5.2.2 Cancelación Polos y Ceros
-
Unidad III: Polos y una función de transferencia.
-
EFECTOS DE AÑADIR POLOS Y A LAS FUNCIONES DE - ppt
-
polos y ceros MATLAB - de comandos | Skulltrap Electronics
-
Diagrama de polos y ceros de una función de 1 er. orden. Un... | Scientific Diagram
-
Para el Diagrama de y que se muestra | Chegg.com
-
Análisis temporal de sistemas de primer y segundo Polos y YouTube
-
Transformación Bilineal luz-wiki
-
FUNCIÓN DE TRANSFERENCIA: Lo que NUNCA te enseñaron
-
FUNCIÓN DE TRANSFERENCIA: Lo que NUNCA te enseñaron
-
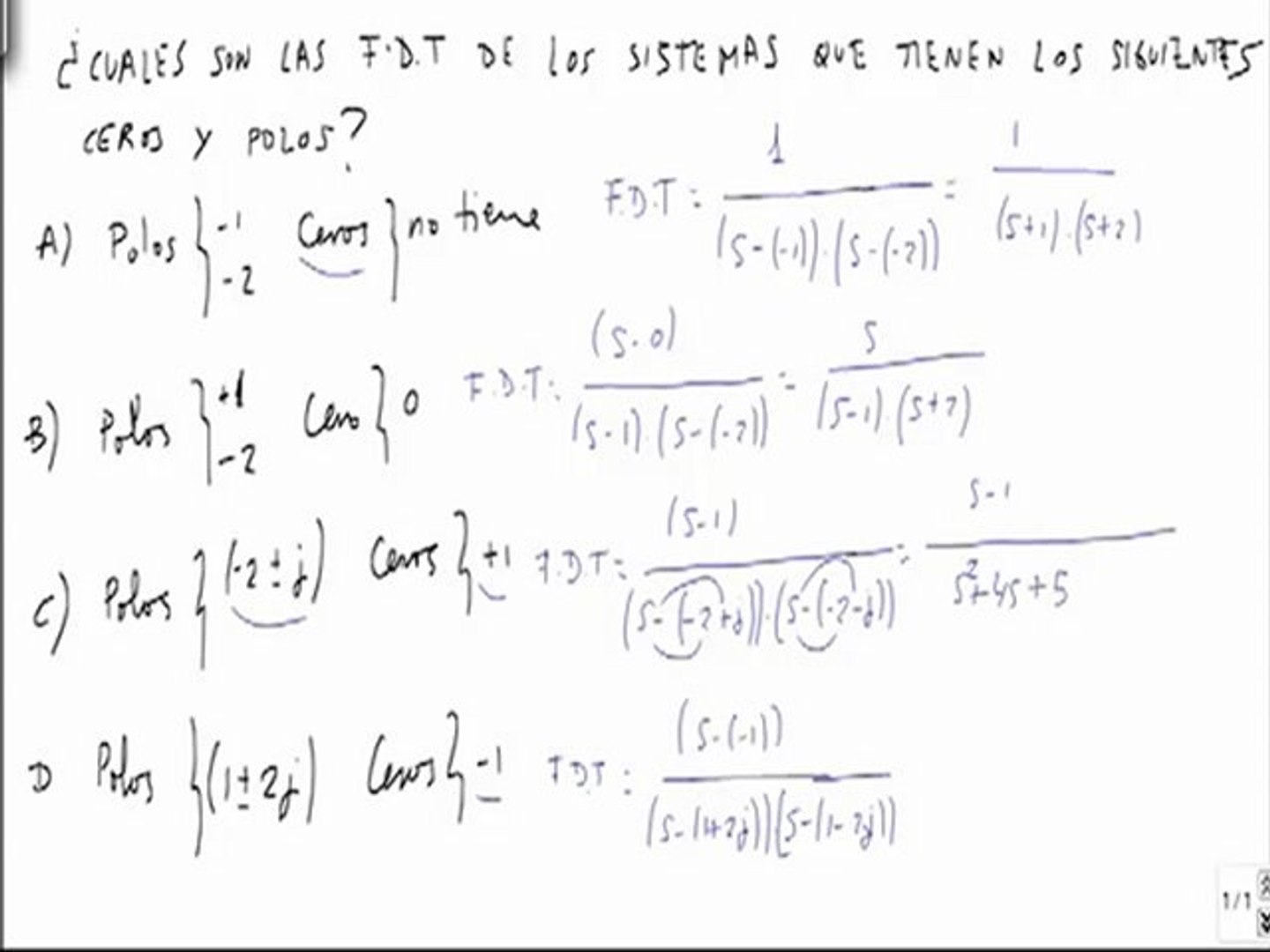
Polos y Zeros una Función de Transferencia - YouTube
-
TEMA 5.4 Efecto polos y especificaciones y compensación en el LdR - 5. Efectos el LdR - Studocu
-
Automática en la
-
Diagrama de polos y ceros de una función de 1 er. orden. Un... | Scientific Diagram
-
Determinar los ceros y polos de la funcion de - Vídeo Dailymotion
-
FUNCIÓN DE TRANSFERENCIA: Lo que NUNCA te enseñaron
-
Polos y ceros en el Plano Z - LibreTexts Español
-
Polos de la función de red
-
de polos y ceros | Transformadas de Laplace
-
Lugar de raíces - Wikipedia, la libre
-
de control. Estabilidad lugar geométrico de raíces (Presentación PowerPoint)
-
la funcion de transferencia ceros y polos - Vídeo Dailymotion
-
Polos y Ceros | PDF Filtro electronico Función (Matemáticas)
-
de estabilidad : Control Automático Procesos